Službeni glasnik BiH, broj 33/18
Ovaj akt nije unešen na bosanskom jeziku.
Na osnovu člana 17. stav 2. i člana 72. Zakona o hrani ("Službeni glasnik BiH", broj 50/04) i člana 17. Zakona o Vijeću ministara Bosne i Hercegovine ("Službeni glasnik BiH", br. 38/02, 42/03, 81/06, 76/07, 81/07 i 24/08), Vijeće ministara Bosne i Hercegovine, na prijedlog Agencije za sigurnost hrane Bosne i Hercegovine, u saradnji s nadležnim organima entiteta i Brčko distrikta Bosne i Hercegovine, na 133. sjednici, održanoj 14. februara 2018. godine, donijelo je
PRAVILNIK
O PREHRAMBENIM ADITIVIMA
DIO PRVI – OPĆE ODREDBE
Član 1.
(Predmet)
(1) Ovim Pravilnikom se propisuje dopuštenost upotrebe i drugi zahtjevi za prehrambene aditive koji se koriste u hrani s ciljem osiguravanja efikasnog funkcionisanja tržišta, visokog nivoa zaštite zdravlja ljudi, interesa potrošača, prema potrebi zaštitu okoliša i pošteno ponašanje u prometu hranom.
(2) Ovim Pravilnikom se utvrđuju:
a) liste odobrenih prehrambenih aditiva utvrđenih u Aneksima II i III ovoga Pravilnika,
b) uslovi korištenja prehrambenih aditiva u hrani, uključujući u prehrambenim aditivima i u prehrambenim enzimima u skladu s posebnim propisom i u prehrambenim aromama u skladu s posebnim propisom,
c) način označavanja prehrambenih aditiva koji se stavljaju na tržište kao takvi,
d) specifikacije prehrambenih aditiva.
Član 2.
(Primjena)
(1) Odredbe ovoga Pravilnika primjenjuju se na prehrambene aditive.
(2) Odredbe ovoga Pravilnika ne primjenjuju se na sljedeće supstance, ako se ne koriste kao aditivi:
a) pomoćna sredstva u proizvodnji hrane,
b) sredstva koja se koriste za zaštitu bilja i biljnih proizvoda, u skladu sa propisima Bosne i Hercegovine u oblasti zaštite zdravlja bilja koja su regulisana Zakonom o zaštiti zdravlja bilja ("Službeni glasnik BiH", broj 23/03)
c) supstance koje se dodaju hrani kao hranjive materije,
d) supstance koje se koriste za preradu vode za ljudsku upotrebu, u skladu sa Pravilnikom o zdravstvenoj ispravnosti vode za piće ("Službeni glasnik BiH", br. 40/10, 30/12 i 62/17),
e) prehrambene arome, u skladu sa Pravilnikom o upotrebi aroma ("Službeni glasnik BiH", broj 78/14) i
f) prehrambene enzime, u skladu sa Pravilnikom o prehrambenim enzimima ("Službeni glasnik BiH", broj 66/14).
Član 3.
(Definicije)
(1) U smislu ovoga Pravilnika primjenjuju se pojmovi utvrđeni Zakonom o hrani ("Službeni glasnik BiH", broj 50/04).
(2) Pojedini pojmovi u smislu ovoga Pravilnika, imaju sljedeće značenje:
a)
"prehrambeni aditiv" (u daljnjem tekstu: aditiv) je svaka supstanca koja se sama po sebi ne konzumira kao hrana, niti je prepoznatljiv sastojak određene hrane bez obzira na hranjivu vrijednost, a čije je dodavanje hrani namjerno zbog tehnoloških razloga u proizvodnji, preradi, pripremi, obradi, pakovanju, prijevozu ili skladištenju i ima za posljedicu, ili se može očekivati da će imati za posljedicu, da će aditiv ili njegovi nusproizvodi postati direktno ili indirektno sastojak hrane,
b)
"pomoćno sredstvo u procesu proizvodnje" je svaka supstanca koja:
1) se sama po sebi ne koristi kao hrana,
2) se namjerno koristi u preradi sirovina, hrane ili njihovih sastojaka, u svrhu zadovoljenja određenih tehnoloških potreba tokom obrade ili prerade, i
3) može imati za posljedicu nenamjerno, ali tehnološki neizbježnu prisutnost ostataka te supstance ili njenih derivata u konačnom proizvodu pod uslovom da njihova prisutnost ne predstavlja nikakvu opasnost po zdravlje i da nemaju tehnološki učinak u gotovom proizvodu,
c)
"funkcionalni razred" znači jedna od kategorija utvrđena u Aneksu I. temeljena na tehnološkoj funkciji koju prehrambeni aditiv vrši u prehrambenom proizvodu,
d)
"neprerađena hrana" je hrana koja nije podvrgnuta nikakvom postupku koji bi doveo do bitne promjene njenog prvobitnog stanja, pri čemu ona može biti podijeljena na dijelove, rascijepljena, isječena, očišćena od kostiju, usitnjena, oderana, oguljena, samljevena, odrezana, očišćena, podrezana, duboko smrznuta, zamrznuta, ohlađena, samljevena u mlinu, oljuštena, zapakirana ili nezapakirana,
e)
"hrana bez dodatka šećera" označava hranu bez:
1) dodanih monosaharida ili disaharida,
2) dodane hrane koja sadrži monosaharide ili disaharide koja se koristi zbog njezinih svojstava zaslađivanja.
f)
"hrana smanjene energetske vrijednosti" jest hrana kojoj je energetska vrijednost smanjena za najmanje 30% u usporedbi s izvornom hranom ili sličnim proizvodom,
g)
"stolni zaslađivač" označava pripravke dopuštenih zaslađivača, koji mogu sadržavati druge aditive i/ili sastojke hrane i koji su namijenjeni za prodaju krajnjem potrošaču kao zamjena za šećere,
h)
"quantum satis" znači da nije određena najviša numerička vrijednost i da se aditivi upotrebljavaju u skladu s dobrom proizvođačkom praksom (DPP) u količini koja nije viša od nužne za postizanje svrhe, uz uslov da ne dovodi potrošača u zabludu.
Član 4.
(Aditivima se ne smatraju)
Aditivima se ne smatraju sljedeće supstance:
a) monosaharidi, disaharidi ili oligosaharidi i hrana koja sadrži pomenute supstance koje se koriste zbog njihovog svojstva zaslađivanja,
b) hrana, bilo u osušenom ili koncentriranom obliku, uključujući arome dodane tokom izrade složene hrane, zbog njihovih aromatskih obilježja, ukusa ili hranjivih svojstava, kao i sekundarnog efekta bojenja,
c) supstance koje se koriste za pokrivanje ili oblaganje hrane, koje ne čine sastavni dio hrane i nisu namijenjene konzumiranju zajedno s takvom hranom,
d) proizvodi koji sadrže pektin i dobivaju se od sušene pulpe jabuke ili kore agruma ili dunja, ili iz njihove mješavine, djelovanjem razrijeđene kiseline koje prati djelimična neutralizacija natrijevim ili kalijevim solima (tečni pektin),
e) baze za žvakaće gume,
f) bijeli ili žuti dekstrin, pržen ili dekstriran skrob, skrob modificiran kiselom ili alkalnom obradom, izbijeljeni skrob, fizički modificirani skrob i skrob koji se obrađuje amilolitičkim enzimima,
g) amonij hlorid,
h) krvna plazma, jestiva želatina, bjelančevinski hidrolizati i njihove soli, mliječna bjelančevina i gluten,
i) aminokiseline i njihove soli drugačije od glutaminske kiseline, glicin, cistein i cistina i njihovih soli koje nemaju tehnološku funkciju,
j) kazeinati i kazein,
k) inulin.
Član 5.
(Liste aditiva)
(1) Samo aditivi uvršteni u liste iz Aneksa II ovoga Pravilnika mogu se stavljati na tržište i kao takvi koristiti u hrani u skladu sa tamo navedenim uslovima upotrebe.
(2) Samo aditivi uvršteni u Aneks III ovoga Pravilnika mogu se koristiti u prehrambenim aditivima, u prehrambenim enzimima i u prehrambenim aromama u skladu sa navedenim uslovima upotrebe.
(3) Aditivi iz Aneksa II ovoga Pravilnika navode se na osnovu kategorije hrane u koju se mogu dodati.
(4) Aditivi iz Aneksa III ovoga Pravilnika navode se na osnovu prehrambenih aditiva, prehrambenih enzima, prehrambenih aroma i hranjivih tvari ili kategorija istih u koju se mogu dodati.
(5) Aditivi moraju biti u skladu sa odredbama člana 14. i Aneksa V ovoga Pravilnika.
Član 6.
(Stavljanje na tržište aditiva i hrane)
Aditiv ili hrana u kojoj je prisutan aditiv, može se stavljati na tržište, samo ako je korištenje istog u skladu sa odredbama ovog Pravilnika.
Član 7.
(Opći uslovi za uvrštavanje aditiva u liste aditiva i njihovu upotrebu)
(1) Aditiv se može uvrstiti u liste iz Aneksa II i III ovoga Pravilnika, i koristiti samo ako zadovoljava uslove zaštite okoliša i druge opravdane uslove, a posebno:
a) ako na osnovu raspoloživih naučnih dokaza, ne ugrožava zdravlje potrošača i ako se koristi prema dopuštenoj namjeni,
b) ako je upotreba tehnološki opravdana, kada se konačni učinak ne može postići drugim načinima koji su ekonomski i tehnološki primjenjiviji,
c) ako njegova upotreba ne dovodi u zabludu potrošača.
(2) Za uvrštenje u liste iz Aneksa II i III ovoga Pravilnika aditiv mora imati osim tehnoloških i drugih prednosti, i koristi potrošaču, i stoga služiti jednoj ili više sljedećih namjena:
a) očuvanje hranjive vrijednosti hrane,
b) osiguravanje potrebnih sastojaka ili sastavnih dijelova hrane proizvedene za grupe potrošača s posebnim prehrambenim potrebama,
c) povećanje očuvanja kvaliteta ili stabilnosti hrane ili poboljšanje njezinih organoleptičkih svojstava, pod uslovom da se priroda, sadržaj ili kvalitet hrane ne mijenjaju na način koji bi mogao potrošača dovesti u zabludu,
d) pomoć u proizvodnji, preradi, pripremi, obradi, pakovanju, prijevozu ili skladištenju hrane, a odnosi se i na aditive, prehrambene enzime i prehrambene arome, pod uslovom da se aditiv ne koristi za prikrivanje djelovanja korištenja sirovina loše kvalitete ili nedozvoljenih postupaka ili metoda, uključujući nehigijenske postupke ili metode.
(3) Odstupanjem od stava (2) tačke a) ovoga člana upotreba aditiva koji smanjuje hranjivu vrijednost hrane može se uvrstiti na popis u Aneksu II ovoga Pravilnika pod uslovom da:
a) hrana ne čini značajan sastojak uobičajene ishrane, ili
b) aditiv je potreban za proizvodnju hrane za grupe potrošača s posebnim prehrambenim potrebama.
Član 8.
(Posebni uslovi za zaslađivače)
Aditiv iz kategorije zaslađivača može se uvrstiti na liste iz Aneksa II ovoga Pravilnika za funkcionalni razred zaslađivača samo ako služi jednoj ili više namjena utvrđenih u članu 7. stavu (2) ovoga Pravilnika i ako udovoljava jednoj ili više sljedećih namjena:
a) zamjenjuje šećere za proizvodnju hrane smanjene energetske vrijednosti, hrane koja sprečava stvaranje karijesa (nekariogena hrana) ili hrane bez dodanog šećera, ili
b) zamjenjuje šećere ukoliko to omogućava produženje roka trajanja takve hrane, ili
c) dobivanje hrane namijenjene posebnim prehrambenim potrebama u skladu sa odredbama Pravilnika o hrani za posebne prehrambene potrebe ("Službeni glasnik BiH", broj 72/11).
Član 9.
(Posebni uslovi za boje)
Aditiv iz kategorije boja može se uvrstiti na liste iz Aneksa II ovoga Pravilnika za funkcionalni razred boja, samo ako služi jednoj ili više namjena utvrđenih u članu 7. stavu (2) ovoga Pravilnika, i udovoljava jednoj od sljedećih namjena:
a) obnavljanje izvornog izgleda hrane čija je boja izmijenjena preradom, skladištenjem, pakovanjem i distribucijom, kod čega je narušena vizualna prihvatljivost,
b) postizanje veće vizualne privlačnosti hrane,
c) davanje boje hrani koja je inače bezbojna.
Član 10.
(Funkcionalni razredi aditiva)
(1) Aditivi navedeni u Aneksima II i III ovoga Pravilnika razvrstani su u jedan od funkcionalnih razreda iz Aneksa I ovoga Pravilnika na osnovu glavne tehnološke funkcije aditiva. Razvrstavanje aditiva u funkcionalni razred ne sprečava da se on koristi za više tehnoloških funkcija.
(2) Prema potrebi, kao rezultat naučnog napretka ili tehnološkog razvoja, donosit će se izmjene i dopune ovoga Pravilnika, koje se odnose na dodatne funkcionalne razrede iz Aneksa I ovoga Pravilnika.
Član 11.
(Sadržaj liste aditiva)
Kod uvrštavanja aditiva u Liste iz Aneksa II i III ovoga Pravilnika potrebno je navesti:
a) naziv aditiva i njegov E broj,
b) hranu kojoj se aditiv može dodati,
c) uslove upotrebe aditiva,
d) ako je primjereno, postoje li neka ograničenja u pogledu direktne prodaje prehrambenog aditiva krajnjem potrošaču.
Član 12.
(Dozvoljene količine aditiva za upotrebu)
(1) Uslovi upotrebe aditiva iz člana 11. tačka c) ovoga Pravilnika su:
a) upotrebna količina mora se utvrditi na najnižem nivou potrebnom za postizanje željenog efekta,
b) dopuštene količine moraju uzeti u obzir:
1) prihvatljiv dnevni unos aditiva ili ekvivalentna procjena utvrđena za određeni aditiv, kao i mogući dnevni unos istog iz svih izvora,
2) ako se prehrambeni aditiv koristi u hrani koju konzumiraju posebne grupe potrošača mogući dnevni unos aditiva od strane potrošača u spomenutim grupama.
(2) Prema potrebi, neće se utvrditi najveći brojčani nivo za prehrambeni aditiv (quantum satis). U tom slučaju, prehrambeni aditivi se koriste u skladu sa načelima quantum satis.
(3) Najveće dopuštene količine aditiva utvrđene u Aneksu II ovoga Pravilnika, odnose se na hranu koja se stavlja na tržište, osim ako nije drugačije određeno. Izuzetno od ovog načela, za osušenu i/ili koncentriranu hranu koja se treba pripremiti, najveća dopuštena količina odnosi se na hranu koja je pripremljena prema uputstvu za upotrebu na deklaraciji, uzimajući u obzir najmanji faktor razrjeđenja.
(4) Najveće dopuštene količine za boje iz Aneksa II ovoga Pravilnika vrijede za količine čiste boje sadržane u pripravku boje, osim ako nije drugačije naznačeno.
Član 13.
(Promjene proizvodnog postupka ili ulaznih materijala za proizvodnju aditiva koji je već uvršten na liste ovoga Pravilnika)
(1) Kada je aditiv već uvršten u liste Aneksa ovoga Pravilnika, a nastane značajna promjena u načinu proizvodnje istog ili u korištenju ulaznih sirovina, ili dođe do promjene veličine čestica (npr. kod primjene nanotehnologije), aditiv se smatra različitim aditivom.
(2) Prije stavljanja u promet aditiva iz stava (1) ovog člana potrebno je novo uvrštavanje u liste ovoga Pravilnika ili promjena u specifikacijama prije njegovog stavljanja na tržište.
Član 14.
(Specifikacije aditiva)
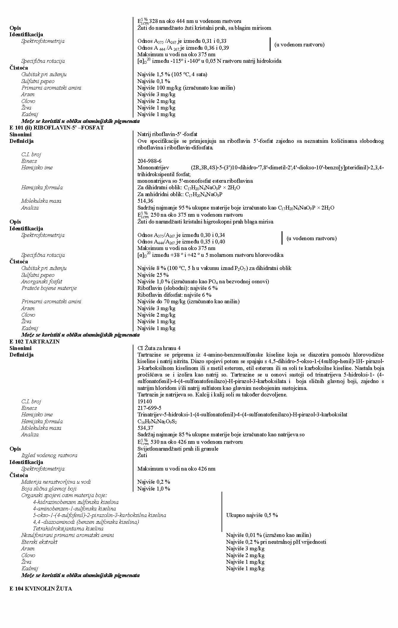
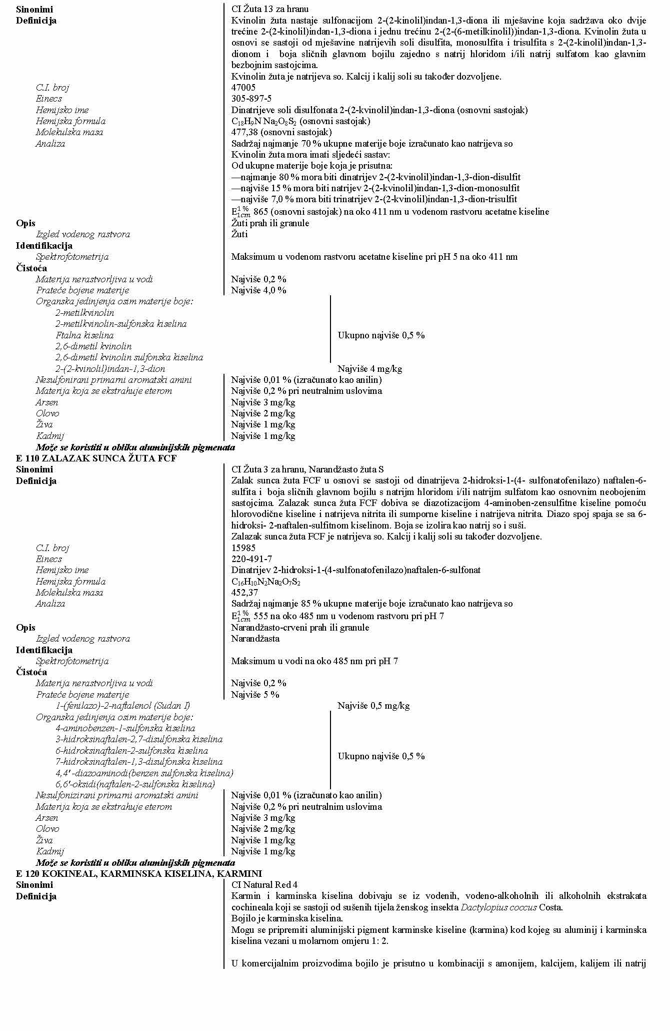
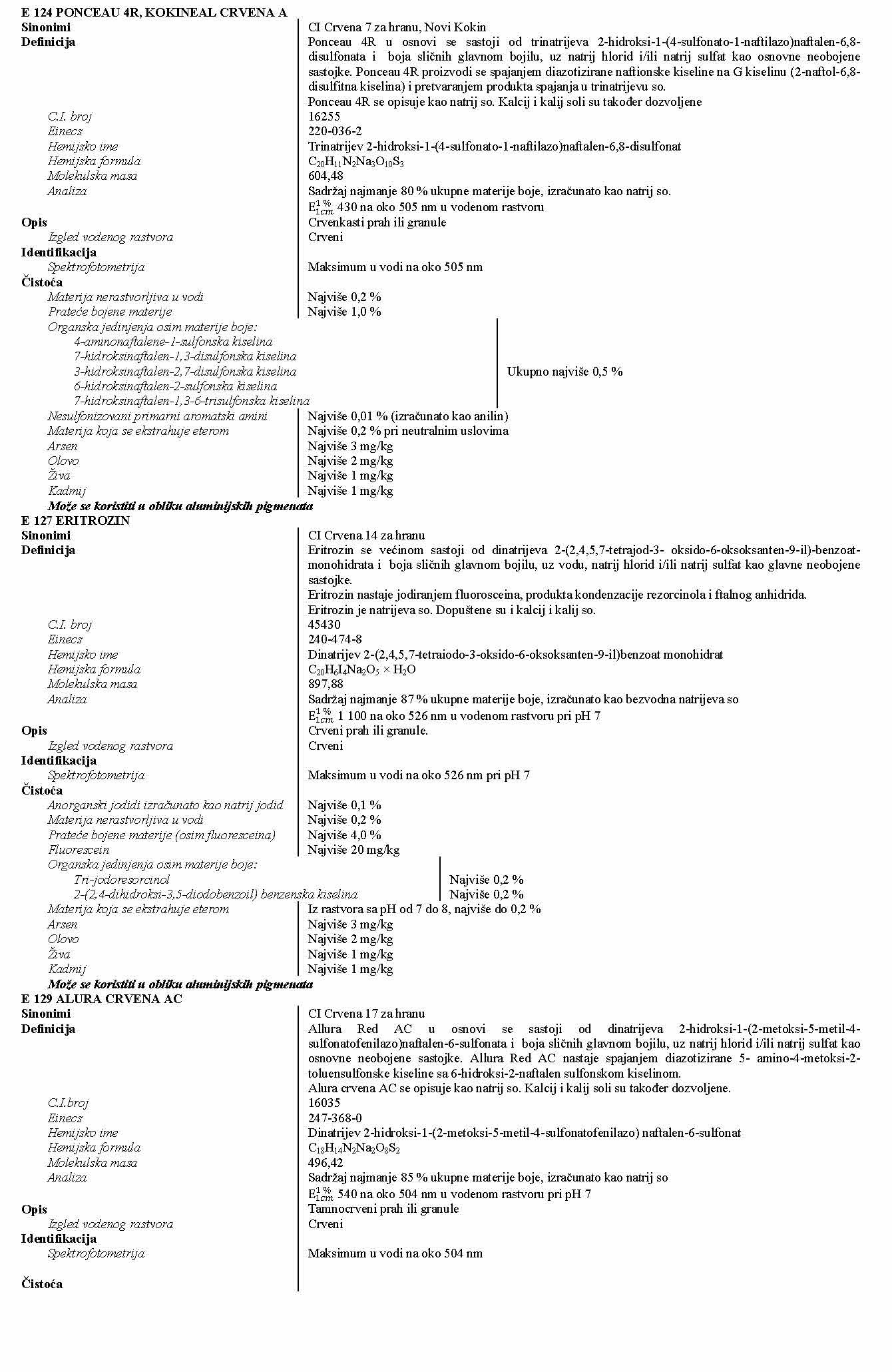
Specifikacije aditiva uključenih na liste iz Aneksa II i III ovog Pravilnika, koje sadrže podatke o porijeklu, kriterije čistoće i druge potrebne informacije za identifikaciju i ocjenu zdravstvene ispravnosti aditiva navedene su u Aneksu V ovoga Pravilnika.
Član 15.
(Upotreba aditiva u neprerađenoj hrani)
Aditivi se ne smiju koristiti u neprerađenoj hrani, osim ako je takva primjena posebno propisana u Aneksu II ovoga Pravilnika.
Član 16.
(Upotreba aditiva u hrani za dojenčad i malu djecu)
Aditivi se ne smiju koristiti u hrani za dojenčad i malu djecu koja je definisana Pravilnikom o hrani za posebne prehrambene potrebe, uključujući dijetalnu hranu za dojenčad i malu djecu za posebne medicinske namjene, osim ako je to posebno propisano u Aneksu II ovoga Pravilnika.
Član 17.
(Upotreba boja za označavanje)
Samo boje navedene u Aneksu II ovoga Pravilnika mogu se koristiti u svrhu oznaka zdravstvene ispravnosti na svježem mesu u skladu s odredbama Pravilnika o organizaciji službenih kontrola proizvoda životinjskog porijekla namijenjenih ishrani ljudi ("Službeni glasnik BiH", broj 103/12), te za žigosanja i pečatiranja i za druge neophodne oznake na proizvodima od mesa, te za ukrašavanje i žigosanje ljuski jaja kako je propisano u odredbama Pravilnika o higijeni hrane životinjskog podrijetla ("Službeni glasnik BiH", br. 103/12 i 28/14).
Član 18.
(Princip prenesenih aditiva)
(1) Prisustvo aditiva je dozvoljeno:
a) u složenoj hrani osim u onoj koja je navedena u Aneksu II ovoga Pravilnika, kada je aditiv dozvoljen u jednom od sastojaka složene hrane,
b) u hrani kojoj je dodat prehrambeni aditiv, prehrambeni enzim ili prehrambena aroma, gdje je:
1) prisustvo aditiva dozvoljeno u samom aditivu, odnosno prehrambenom enzimu i prehrambenoj aromi u skladu s odredbama ovoga Pravilnika, i
2) kada je aditiv bio prenesen u hranu preko prehrambenog aditiva, prehrambenih enzima ili prehrambenih aroma, i
3) ukoliko nema tehnološku funkciju u gotovom proizvodu.
c) u hrani koja se isključivo koristi kao sirovina za proizvodnju složene hrane, pod uslovom da je takva složena hrana u skladu s odredbama ovoga Pravilnika.
(2) Odredbe stava (1) ovoga člana ne primjenjuju se na hranu za dojenčad i malu djecu, prerađenu hranu na bazi žitarica za dojenčad i malu djecu te hranu za posebne medicinske namjene za dojenčad i malu djecu, definiranu Pravilnikom o hrani za posebne prehrambene potrebe, osim ako je to navedeno.
(3) Ako se prehrambeni aditiv u prehrambenoj aromi, prehrambenom aditivu ili prehrambenom enzimu dodaje hrani i ima tehnološku funkciju u spomenutoj hrani, isti se smatra prehrambenim aditivom spomenute hrane, a ne prehrambeni aditiv dodane arome, prehrambenog aditiva ili prehrambenog enzima, te stoga mora biti u skladu sa uslovima korištenja propisanima za takvu hranu.
(4) Ne dovodeći u pitanje stav (1) ovoga člana, prisutnost prehrambenog aditiva koji se koristi kao zaslađivač je dopušteno u složenoj hrani bez dodanog šećera, u složenoj hrani sa smanjenom energetskom vrijednošću, u složenim dijetetskim proizvodima namijenjenim za smanjenje tjelesne mase, u složenoj hrani za sprečavanje karijesa i u složenoj hrani sa produženim rokom trajanja, pod uslovom da je zaslađivač dopušten u jednom od sastojaka te hrane.
Član 19.
(Označavanje aditiva koji nisu namijenjeni prodaji krajnjem potrošaču)
Aditivi koji nisu namijenjeni prodaji krajnjem potrošaču, bilo da se prodaju pojedinačno ili međusobno pomiješani i/ili sa sastojcima hrane, kako je definisano Pravilnikom o pružanju informacija potrošačima o hrani ("Službeni glasnik BiH", broj 68/13), mogu se stavljati na tržište samo ako su označeni podacima iz člana 20. ovoga Pravilnika, koji moraju biti dobro vidljivi, jasno čitljivi, neizbrisivi i dostupni na jednom od službenih jezika i pisama u upotrebi u Bosni i Hercegovini, razumljivom za korisnika.
Član 20.
(Opći zahtjevi za označavanje za aditive koji nisu namijenjeni prodaji krajnjem potrošaču)
(1) Kada se aditivi koji nisu namijenjeni prodaji krajnjem potrošaču prodaju pojedinačno ili međusobno pomiješani i/ili s drugim sastojcima hrane, na njihovoj ambalaži ili spremnicima moraju se nalaziti sljedeći podaci:
a) specifični naziv i/ili E-broj aditiva propisanih ovim Pravilnikom za svaki pojedini aditiv ili naziv pod kojim se prodaje koji uključuje specifični naziv i/ili E-broj svakog pojedinog aditiva.
b) navod "za hranu" ili navod "ograničena upotreba u hrani" ili posebno navođenje na njegovu tehnološku funkciju u hrani,
c) prema potrebi, posebni uslovi skladištenja i/ili upotrebe,
d) oznaka serije ili lota,
e) uputstvo za upotrebu, ako bi njihovo izostavljanje spriječilo pravilnu upotrebu aditiva,
f) naziv i adresa proizvođača ili onoga koji aditiv pakuje, ili stavlja na tržište,
g) oznaka najveće dopuštene količine svakog sastojka ili grupe sastojaka čija količina je ograničena u hrani i/ili odgovarajući podatak iskazan jasnim i lako razumljivim izrazima koji kupcu omogućavaju da se uskladi s odredbama ovog Pravilnika ili drugih odgovarajućih propisa o hrani. Ako isto ograničenje za količine vrijedi za grupu sastojaka koji se koriste pojedinačno ili u kombinaciji, zajednički postotak se može iskazati kao pojedinačna vrijednost. Količinsko ograničenje se izražava numerički ili po načelu "quantum satis",
h) neto količina,
i) datum upotrebe,
j) prema potrebi, podaci o prisustvu alergena, u skladu sa Pravilnikom o pružanju informacija potrošačima o hrani.
(2) Ako se aditivi prodaju međusobno pomiješani i/ili s drugim sastojcima hrane, na njihovoj ambalaži ili spremnicima mora stajati popis svih sastojaka prema opadajućem redoslijedu njihove masene procentualne zastupljenosti.
(3) Ako se supstance (uključujući aditive ili druge sastojke hrane) dodaju aditivima da se olakša njihovo čuvanje, prodaja, standardizacija, razrjeđenje ili otapanje, na njihovoj ambalaži ili spremnicima mora stajati popis svih takvih supstanci u opadajućem nizu njihove masene procentualne zastupljenosti u cjelini.
(4) Izuzetno od st. (1), (2) i (3) ovoga člana, podaci koji se zahtijevaju u stavu (1) tač. e) do g) i u st. (2) i (3) ovoga člana mogu se nalaziti samo na dokumentaciji koja se odnosi na pošiljku, a koja se dostavlja sa ili prije isporuke, pod uslovom da se oznaka "nije za maloprodaju" nalazi na dobro vidljivom dijelu ambalaže ili spremnika predmetnog proizvoda.
(5) Izuzetno od st. (1), (2) i (3) ovoga člana, kada se aditivi dostavljaju u cisternama, svi podaci mogu se nalaziti samo na pratećoj dokumentaciji koja se odnosi na pošiljku, a koja se dostavlja prilikom isporuke.
Član 21.
(Označavanje aditiva namijenjenih prodaji krajnjem potrošaču)
(1) Ne dovodeći u pitanje odredbe Pravilnika o pružanju informacija potrošačima o hrani aditivi koji se prodaju pojedinačno ili u smjesi aditiva i/ili s drugim sastojcima hrane namijenjeni prodaji krajnjem potrošaču mogu se stavljati na tržište samo ako njihova ambalaža sadrži sljedeće podatke:
a) specifičan naziv i E-broj aditiva propisan ovim Pravilnikom za svaki pojedini aditiv ili naziv pod kojim se prodaje koji uključuje specifičan naziv i E-broj svakog pojedinog aditiva.
b) navod "za hranu" ili navod "ograničena primjena u hrani" ili posebno navođenje na njegovu prehrambenu upotrebu u hrani.
(2) Izuzetno od stava (1) tačke a) ovoga člana trgovački naziv stonog zaslađivača mora sadržavati izraz "stoni zaslađivač na bazi....", pri čemu se navode zaslađivači koji se nalaze u spomenutom sastavu.
(3) Označavanje stonog zaslađivača koji sadrži poliole i/ili aspartam i/ili sol aspartama-acesulfama mora sadržavati sljedeća upozorenja:
a) polioli: "prekomjerno konzumiranje može imati laksativni učinak",
b) aspartam/so aspartama-acesulfama: "sadrži izvor fenilalanina".
(4) Proizvođači stonih zaslađivača, primjerenim načinima trebaju osigurati potrebne podatke kako bi potrošačima omogućili njihovu sigurnu upotrebu.
(5) Podaci iz st. (1) do (3) ovoga člana moraju biti jasno uočljivi, čitki, nepromjenjivi i ne mogu biti prekriveni drugim riječima ili oznakama.
Član 22.
(Zahtjev za označavanje hrane koja sadrži određene boje)
(1) Ne dovodeći u pitanje odredbe Pravilnika o pružanju informacija potrošačima o hrani označavanje hrane koja sadrži boje navedene u Aneksu IV ovoga Pravilnika obuhvaća dodatnu informaciju utvrđenu u Aneksu IV ovoga Pravilnika.
(2) Navođenje informacije iz stava (1) ovoga člana, moraju biti jasno uočljive, čitke, nepromjenjive i ne mogu biti prekrivene drugim riječima ili oznakama.
Član 23.
(Ostali zahtjevi za označavanje)
Čl. 19., 20., 21. i 22. ovoga Pravilnika ne bi trebali dovoditi u pitanje odredbe drugih propisa koji se odnose na mase i mjere ili načine prezentacije, klasifikacije, pakovanja i označavanja opasnih supstanci i pripravaka ili način transporta takvih supstanci i pripravaka.
DIO DRUGI – PRIJELAZNE I ZAVRŠNE ODREDBE
Član 24.
(Aneksi)
Aneksi I, II, III, IV i V čine sastavni dio ovog Pravilnika.
Član 25.
(Prijelazne odredbe)
(1) Subjekti u poslovanju s hranom koji posluju sa aditivima za hranu i hranom koja u sebi sadrži aditive, moraju da usklade svoje poslovanje s odredbama ovoga Pravilnika u roku od 12 mjeseci od dana stupanja na snagu ovog Pravilnika.
(2) Hrana koja u sebi sadrži aditive, proizvedena u skladu sa Pravilnikom o uslovima upotrebe prehrambenih aditiva u hrani namijenjenoj za ishranu lјudi ("Službeni glasnik BiH", broj 83/08), Pravilnikom o upotrebi prehrambenih aditiva, osim boja i zaslađivača u hrani ("Službeni glasnik BiH", broj 83/08), Pravilnikom o upotrebi zaslađivača u hrani ("Službeni glasnik BiH", br. 83/08, 18/13 i 68/14) i Pravilnikom o upotrebi boja u hrani ("Službeni glasnik BiH", br. 85/08, 30/11 i 63/14) i koja je stavljena na tržište u periodu iz stava (1) ovog člana, a nije u skladu sa odredbama ovog Pravilnika, može se nalaziti na tržištu do isteka roka trajanja navedenog na deklaraciji.
Član 26.
(Prestanak važenja propisa)
Danom stupanja na snagu ovog Pravilnika prestaju da važe odredbe Pravilnika o uslovima upotrebe prehrambenih aditiva u hrani namijenjenoj za ishranu lјudi ("Službeni glasnik BiH", broj 83/08), Pravilnika o upotrebi prehrambenih aditiva, osim boja i zaslađivača u hrani ("Službeni glasnik BiH", broj 83/08), Pravilnika o upotrebi zaslađivača u hrani ("Službeni glasnik BiH", br. 83/08, 18/13 i 68/14) i Pravilnika o upotrebi boja u hrani ("Službeni glasnik BiH", br. 85/08, 30/11 i 63/14).
Član 27.
(Usklađivanje sa zakonodavstvom Europske Unije)
Ovim Pravilnikom o prehrambenim aditivima se preuzimaju odredbe definisane Uredbom Komisije (EZ) 1333/2008 o prehrambenim aditivima i odredbe definisane Uredbom Komisije (EU) broj 231/2012 od 09. marta 2012. u pogledu specifikacije za prehrambene aditive iz Aneksa II i III Uredbe (EU) broj 1333/2008 Evropskog parlamenta i Vijeća.
Član 28.
(Stupanje na snagu)
Ovaj Pravilnik stupa na snagu osmog dana od dana objavljivanja u "Službenom glasniku BiH".
ANEKS I
FUNKCIONALNI RAZREDI PREHRAMBENIH ADITIVA U NAMIRNICAMA I PREHRAMBENIH ADITIVA U PREHRAMBENIM ADITIVIMA I PREHRAMBENIM ENZIMIMA
1. "zaslađivači" su supstance koje se koriste za davanje slatkog okusa hrani ili u stonim zaslađivačima;
2. "boje" su supstance koje daju ili obnavljaju boju u hrani, a obuhvaćaju osim sintetiziranih boja i prirodne sastojke hrane i prirodne izvore koji se obično ne uzimaju kao hrana i koji se obično ne koriste kao tipični sastojci hrane. Pripravci dobiveni iz hrane i drugih sirovina iz prirodnih izvora dobivaju se fizičkom i/ili kemijskom ekstrakcijom sa selektivnim izlučivanjem pigmenata za bojenje koji je dominantan u odnosu na sastojke hrane ili aromatske sastojke;
3. "konzervansi" su supstance koje produljuju trajnost hrane štiteći je od kvarenja uzrokovanog mikroorganizmima i/ili koji štite od razvoja patogenih mikroorganizama;
4. "antioksidansi" su supstance koje produljuju trajnost hrane štiteći je od kvarenja uzrokovanog oksidacijom, kao što je užeglost masti i promjene boje;
5. "nosači" su supstance koje se koriste za otapanje, razrjeđivanje, raspršivanje ili druge fizičke promjene aditiva ili aroma, prehrambenih enzima, hranjivih materija i/ili drugih materija koje se dodaju hrani u prehrambene i fiziološke svrhe, bez mijenjanja njezine funkcije, nemaju tehnološko djelovanje a služe kako bi se olakšalo postupanje, primjenu ili upotrebu istih;
6. "kiseline" su supstance koje povećavaju kiselost hrane i/ili mu daju kiseli okus;
7. "regulatori kiselosti" su supstance koje mijenjaju ili kontroliraju kiselost ili lužnatost hrane;
8. "sredstva protiv zgrudnjavanja" su supstance koje dodatkom praškastim mješavinama ili hrani sprječavaju stvaranje većih nakupina ili gruda te održavaju sipkost;
9. "sredstva protiv pjenjenja" su supstance koje sprečavaju ili smanjuju pjenjenje;
10. "sredstva za povećanje volumena" su supstance koje povećavaju volumen hrane bez značajnog doprinosa povećanju energetske vrijednosti;
11. "emulgatori" su supstance koje omogućavaju formiranje i održavanje homogene smjese dvaju ili više faza koje se inače ne mogu miješati kao što su ulje i voda u hrani;
12. "emulgatorske soli" su supstance koje transformišu bjelančevine sadržane u siru u dispergovanu formu i time doprinose homogenom razdvajanju masti i drugih sastojaka;
13. "učvršćivači" su supstance koje čine ili održavaju tkivo voća ili povrća čvrstim ili hrskavim ili sudjeluju u interakciji sa sredstvima za želiranje kako bi tvorile ili učvrstile gel;
14. "pojačivači arome" su supstance koje pojačavaju postojeći okus i/ili miris hrane;
15. "sredstva za pjenjenje" su supstance koje omogućavaju homogeno raspršivanje plinovite faze u tekućoj ili krutoj hrani;
16. "sredstva za želiranje" su supstance koje hrani daju teksturu stvaranjem gela;
17. "sredstva za poliranje" (uključujući maziva) su supstance koje, kada se nanesu na vanjsku površinu hrane, daju sjajan izgled ili tvore zaštitnu oblogu:
18. "sredstva za zadržavanje vlage" su supstance koje sprečavaju isušivanje hrane bez obzira na atmosferski uticaj ili pobošlјavaju rastvorlјivost praškastih supstanci u vodenom medijumu;
19. "modificirani skrobovi" su supstance dobivene putem jednog ili više hemijskih postupaka jestivih skrobova fizikalnim ili enzimatskim postupcima, a mogu biti obrađeni ili izbijeljeni kiselinom ili lužinom;
20. "plinovi za pakovanje" su plinovi drugačiji od zraka koji su uvode u spremnike prije, tokom ili nakon stavljanja hrane u spomenuti spremnik;
21. "potisni plinovi" su plinovi drugačiji od zraka koji potiskuju hranu iz spremnika;
22. "tvari za rahljenje" su supstance ili mješavine tvari koje oslobađaju plin i time povećavaju obujam tijesta ili tečnog tijesta;
23. "sekvestranti" su supstance koji tvore hemijske komplekse sa metalnim jonima;
24. "stabilizatori" su supstance koje omogućavaju održavanje fizikalno-hemijskog stanja hrane; stabilizatori obuhvaćaju supstance koje omogućavaju održavanje homogene raspršenosti dvaju ili više supstanci koje se u hrani međusobno ne miješaju, supstance koje stabiliziraju, zadržavaju ili pojačavaju postojeću boju hrane i supstance koje povećavaju sposobnost vezanja hrane, uključujući stvaranje unakrsnih veza između bjelančevina koje omogućavaju vezivanje komada hrane u rekonstituiranoj hrani;
25. "zgušnjivači" su supstance koje povećavaju viskoznost hrane;
26. "sredstva za tretiranje brašna" su supstance drugačije od emulgatora koje se dodaju brašnu ili tijestu za poboljšanje njegovih svojstava pri pečenju.
27. "pojačivači kontrasta" su supstance koje nanesene na vanjsku površinu voća ili povrća nakon depigmentacije određenih dijelova (npr. laserskim postupkom) pomažu razlikovati te dijelove od preostale površine bojenjem koje je posljedica interakcije s određenim sastavnim dijelovima epiderme."
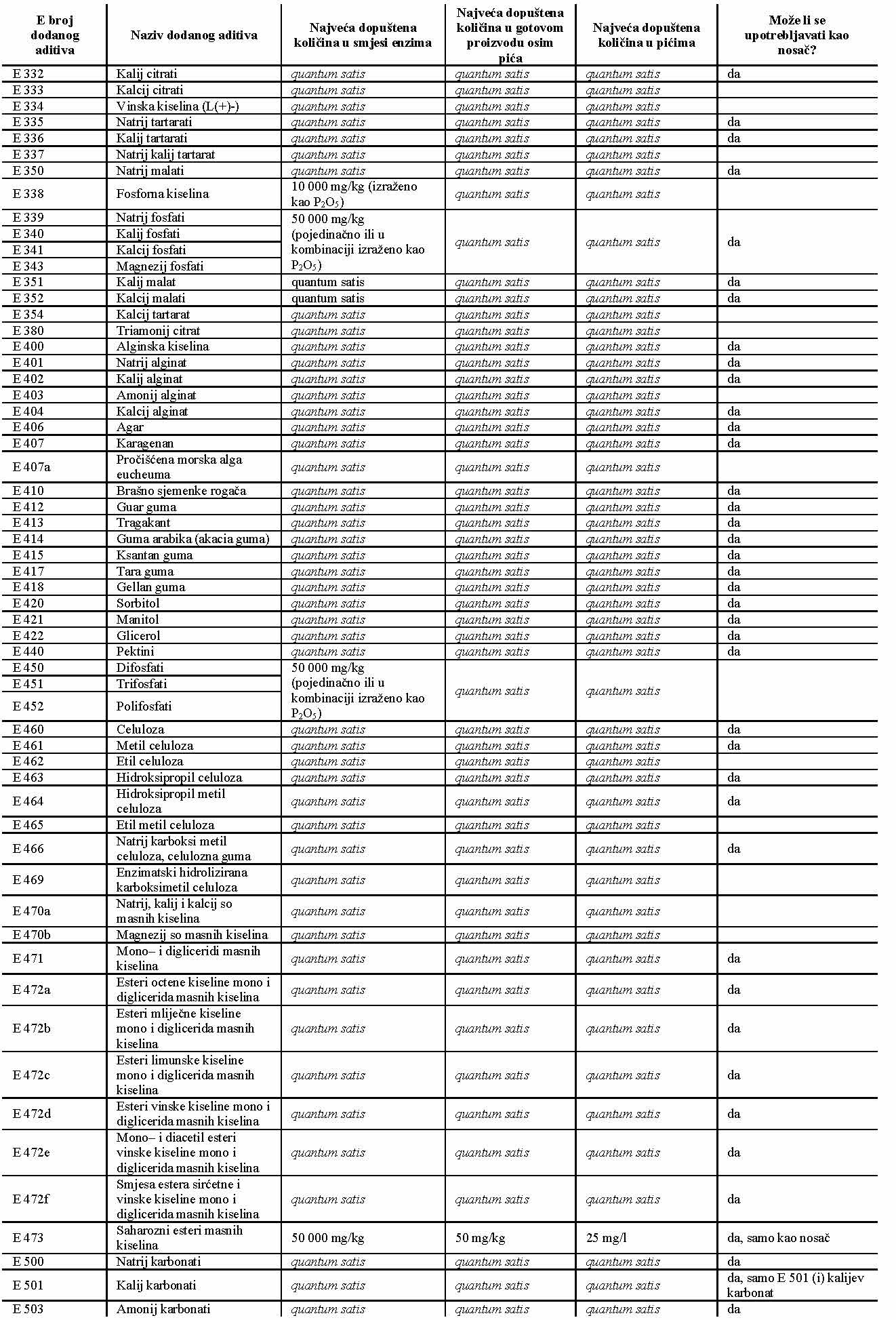
ANEKS II
Lista aditiva koji su odobreni za upotrebu u hrani i uslovi upotrebe
DIO A
1. Uvod
Ova Lista uključuje:
- specifični naziv aditiva i njegov E broj u skladu sa Aneksom V ovog Pravilnika,
- hranu kojoj se aditiv može dodati,
- uslove u kojima se aditiv može upotrebljavati,
- ograničenja za direktnu prodaju aditiva krajnjem potrošaču.
2. Opće odredbe o aditivima iz Liste i uslovi upotrebe
2.1. Samo se supstance s Liste iz Dijela B mogu koristiti kao aditivi u hrani, koji su navedeni u Aneksu V ovog Pravilnika.
2.2. Aditivi se mogu koristiti samo u hrani i samo pod uslovima iz Dijela E ovoga Aneksa.
2.3. U Dijelu E ovoga Aneksa hrana je navedena na osnovu kategorija hrane navedenih u Dijelu D ovoga Aneksa, dok su aditivi razvrstani po grupama i definisani u Dijelu C ovoga Aneksa.
2.4. Mogu se koristiti samo aluminijski lakovi pripremljeni od bojila navedenih u tabel 3. ovog dijela A, i to samo u onim kategorijama hrane za koje su u dijelu E izričito navedene odredbe o najvećim dopuštenim količinama aluminija iz lakova.
2.5. Boje E 123, E 127, E 160b, E 161g E 173 i E 180 ne smiju se prodavati direktno potrošačima.
2.6. Supstance navedene pod E brojevima E 407, E 407a i E 440 mogu se standardizirati sa šećerom kao nosačem pod uslovom da se to navede pored E broja ili specifičnog naziva.
2.7. Kada su označeni natpisom "za upotrebu u hrani", nitriti se mogu prodavati samo u smjesi sa soli ili zamjenom za so.
2.8. Princip prenesenih aditiva ("carry over") – a iz člana 18. stav (1) tačke a) ovog Pravilnika ne primjenjuje se na hranu iz tabele 1. u pogledu općeg prisustva aditiva, te na hranu iz tabele 2. u pogledu prisutnosti boja.






























































































































































































































